Canadian Woodworking And Home Improvement August September 2009 Page Fc





The Nurse Practitioner September 2020 Vol 45 Issue 9 Nursingcenter

The Nurse Practitioner September 2020 Vol 45 Issue 9 Nursingcenter

Pdf Ecological Dynamics Across The Arctic Associated With Recent Climate Change

Pdf Ecological Dynamics Across The Arctic Associated With Recent Climate Change

Pin By Lisa Knee Gaede On Colors Burgandy Color Color Combos Color

Pin By Lisa Knee Gaede On Colors Burgandy Color Color Combos Color

Energies Free Full Text Optimal Configuration With Capacity Analysis Of A Hybrid Renewable Energy And Storage System For An Island Application Html

Energies Free Full Text Optimal Configuration With Capacity Analysis Of A Hybrid Renewable Energy And Storage System For An Island Application Html

Explore The Imf Elibrary Annual Report On Exchange Arrangements And Exchange Restrictions 2012

Explore The Imf Elibrary Annual Report On Exchange Arrangements And Exchange Restrictions 2012

Https Www Jstor Org Stable 41317021

Https Www Jstor Org Stable 41317021

Https Www Jstor Org Stable 41317021

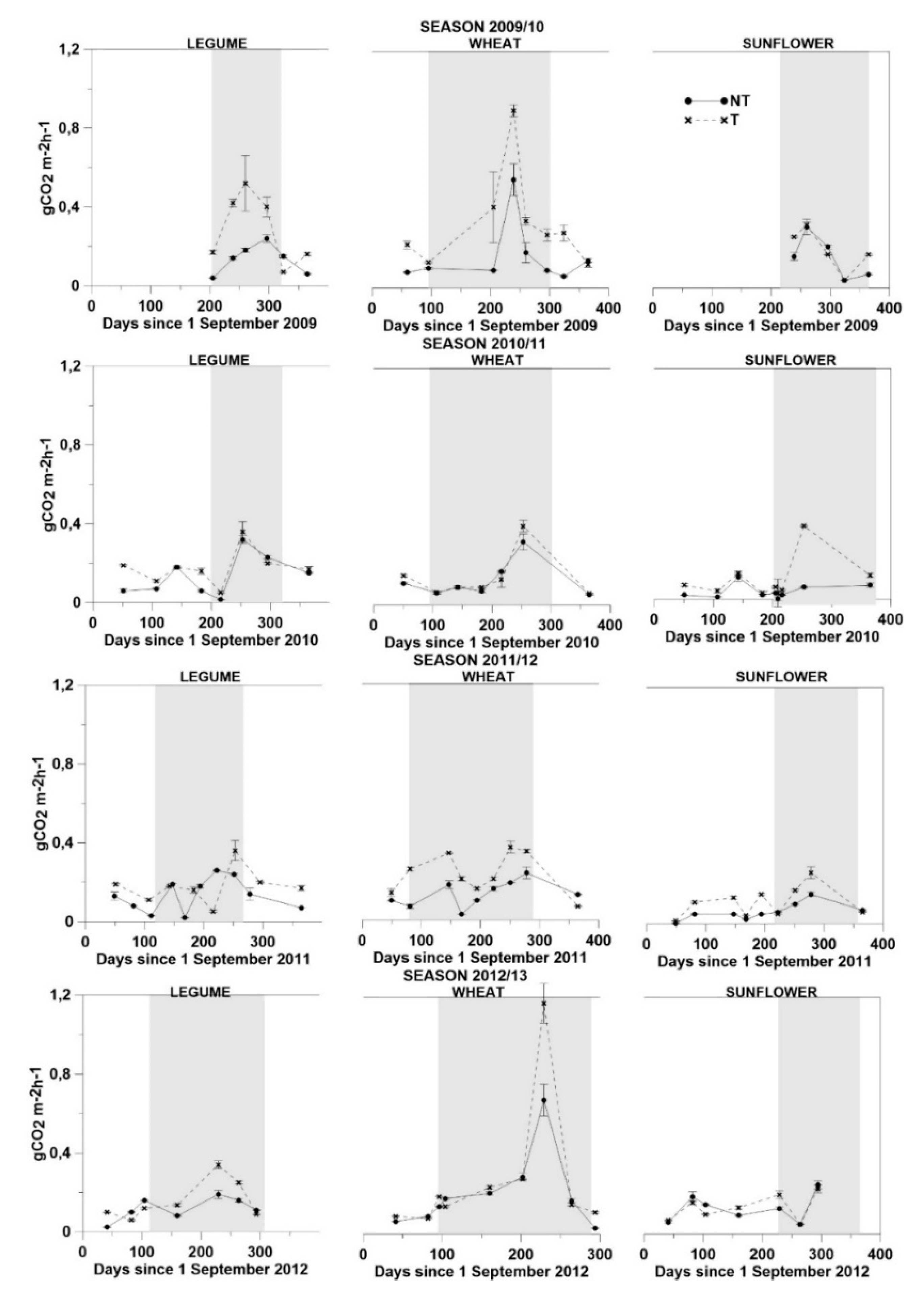
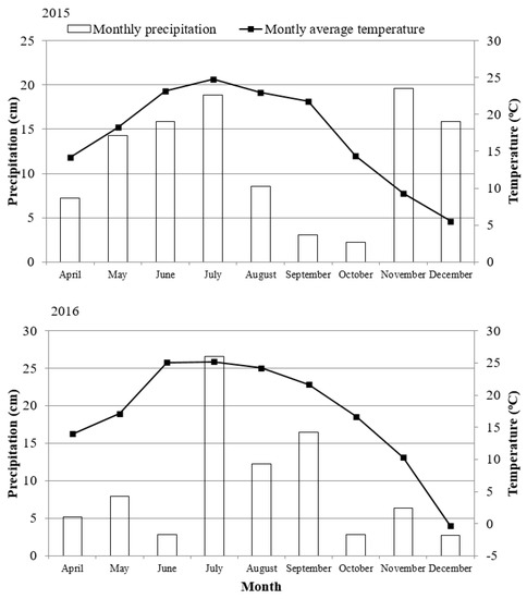
Sustainability Free Full Text The Effect Of Conservation Agriculture And Environmental Factors On Co2 Emissions In A Rainfed Crop Rotation Html

Sustainability Free Full Text The Effect Of Conservation Agriculture And Environmental Factors On Co2 Emissions In A Rainfed Crop Rotation Html

Energies Free Full Text Predicting The Impact Of Climate Change On Thermal Comfort In A Building Category The Case Of Linear Type Social Housing Stock In Southern Spain Html

Energies Free Full Text Predicting The Impact Of Climate Change On Thermal Comfort In A Building Category The Case Of Linear Type Social Housing Stock In Southern Spain Html

Oecd Countries Part Ii A Global Analysis Of Tax Treaty Disputes

Oecd Countries Part Ii A Global Analysis Of Tax Treaty Disputes

Https Www Mdpi Com 2071 1050 11 16 4418 Pdf

Https Www Mdpi Com 2071 1050 11 16 4418 Pdf

Army News Issue 402 15 September 2009 New Zealand Army

Army News Issue 402 15 September 2009 New Zealand Army

Energies Free Full Text Design Simulation And Economic Optimization Of An Off Grid Photovoltaic System For Rural Electrification Html

Energies Free Full Text Design Simulation And Economic Optimization Of An Off Grid Photovoltaic System For Rural Electrification Html

Magazine Mark Magazine

Magazine Mark Magazine

Eia S Electric Power Monthly July 2020 Edition With Data For May Peak Oil Barrel

Eia S Electric Power Monthly July 2020 Edition With Data For May Peak Oil Barrel

Water September 2019 Browse Articles

Water September 2019 Browse Articles

Abstracts 2015 Vox Sanguinis Wiley Online Library

Abstracts 2015 Vox Sanguinis Wiley Online Library

Sustainability August 2 2019 Browse Articles

Sustainability August 2 2019 Browse Articles

Https Www Epa Gov Sites Production Files 2016 06 Documents 2009 Port Inventory Guidance Pdf

Https Www Epa Gov Sites Production Files 2016 06 Documents 2009 Port Inventory Guidance Pdf

Incorporating Thermal Regimes Into Environmental Flows Assessments Modifying Dam Operations To Restore Freshwater Ecosystem Integrity Olden 2010 Freshwater Biology Wiley Online Library

Incorporating Thermal Regimes Into Environmental Flows Assessments Modifying Dam Operations To Restore Freshwater Ecosystem Integrity Olden 2010 Freshwater Biology Wiley Online Library

Https Www Oldschoolgamermagazine Com Magazinearchive Vgt13 Pdf

Https Www Oldschoolgamermagazine Com Magazinearchive Vgt13 Pdf